跳到主要內容區塊

:::

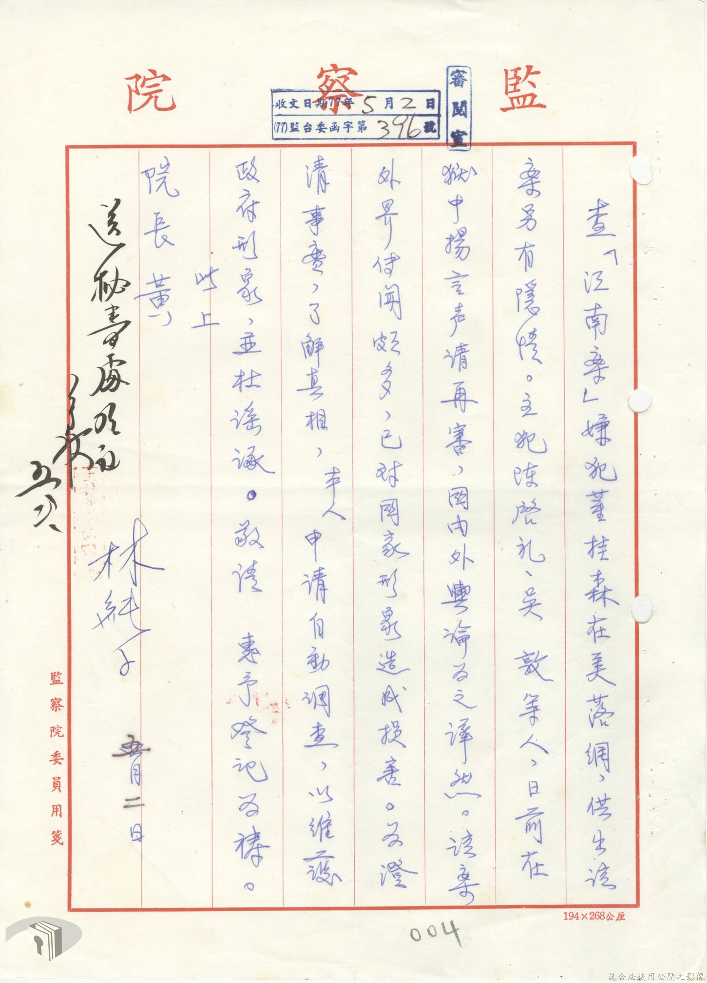
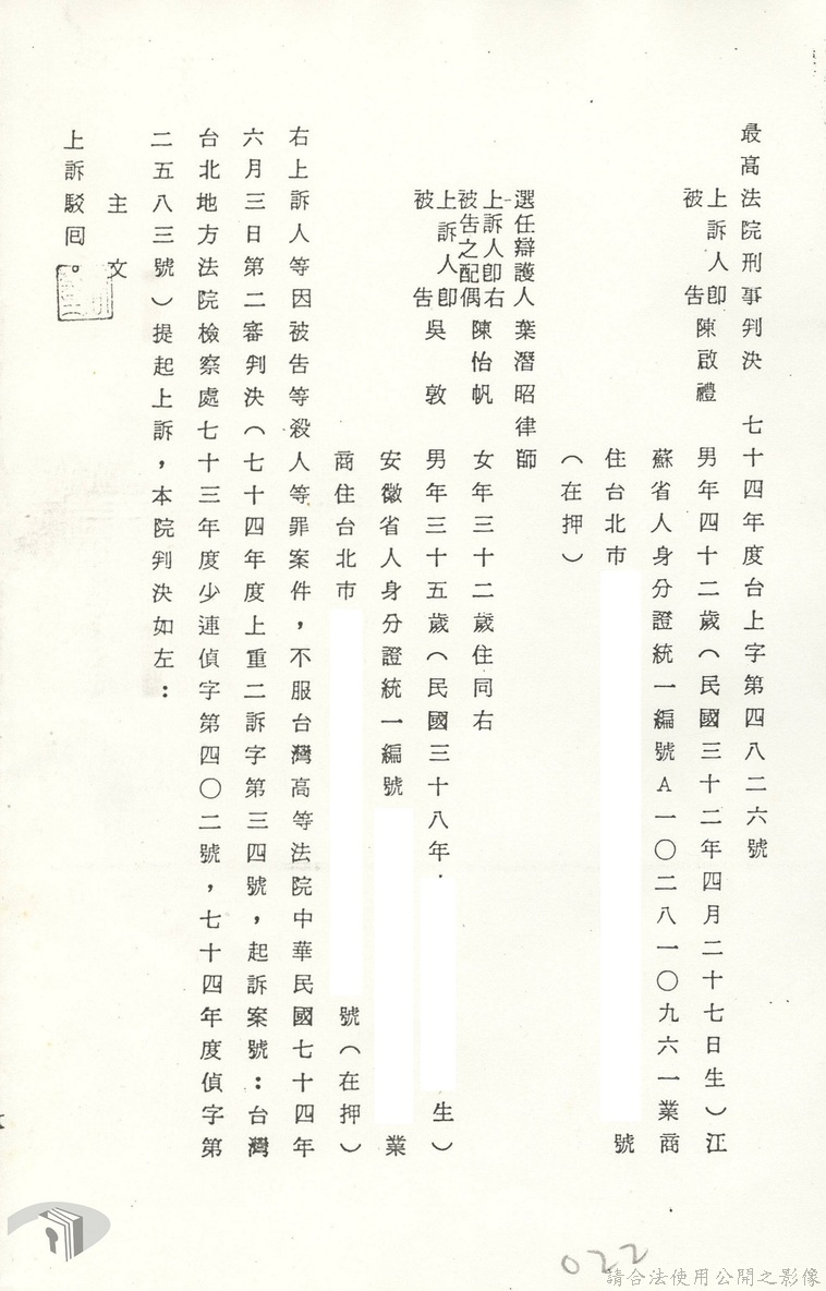
華裔美籍記者被殺害事件據報蔣孝武知道此事等情案。

本案為77年間,監察院調查華裔美籍作者於美國加州自宅遇害相關案情,內容包含:本案相關人士與我國駐新加坡代表處商務副代表有關係、駐新加坡商務副代表曾與中國共產黨中央軍事委員會主席之子見面等,後監察院因調查需要,函請國防部提供相關資料,該部轉請司法院秘書處提供臺灣高等法院、最高法院等單位資料影本給監察院,後該院委員依資料撰寫該案調查報告,並檢送給監察院。

基本資訊

  • 全宗名
    監察院
  • 檔案典藏機關
    國家發展委員會檔案管理局
  • 檔案起迄日期
    民國00770319-民國00771026
  • 數位物件類型
    Text(文字)
  • 貢獻者
    國家發展委員會檔案管理局
  • 審核者
    國家發展委員會檔案管理局
  • 地圖

本網站使用Cookies收集資料用於量化統計與分析,以進行服務品質之改善。請點選"接受",若未做任何選擇,或將本視窗關閉,本站預設選擇拒絕。進一步Cookies資料之處理,請參閱本站之隱私權宣告