跳到主要內容區塊

:::

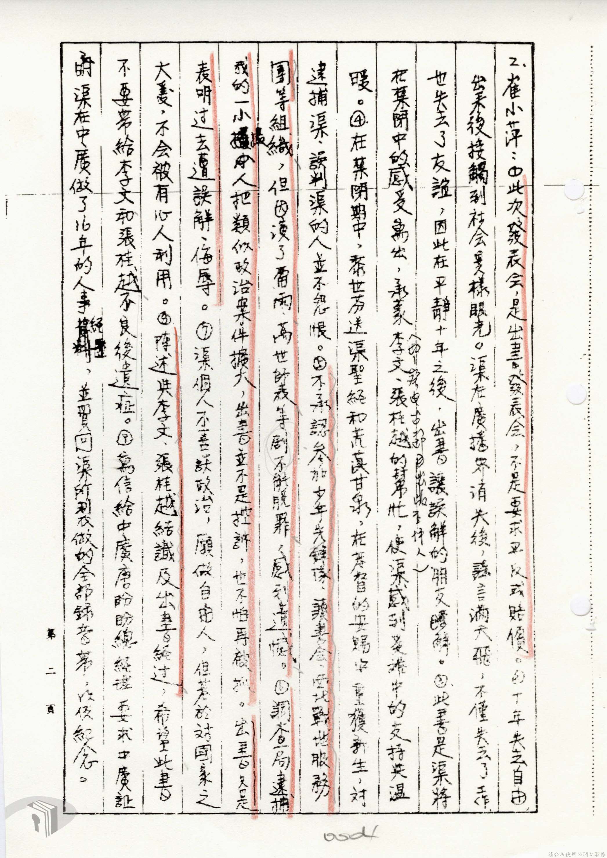
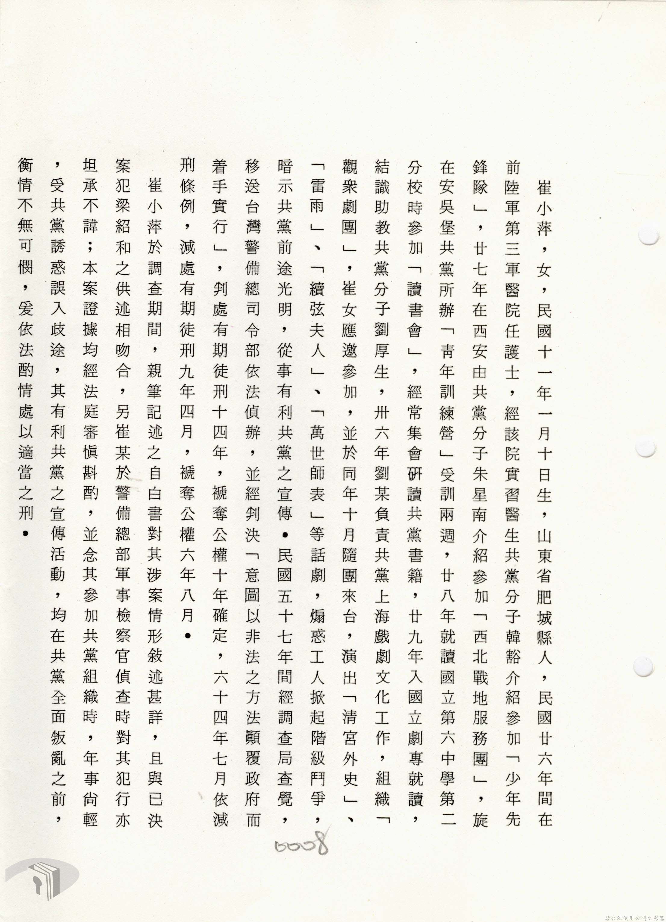
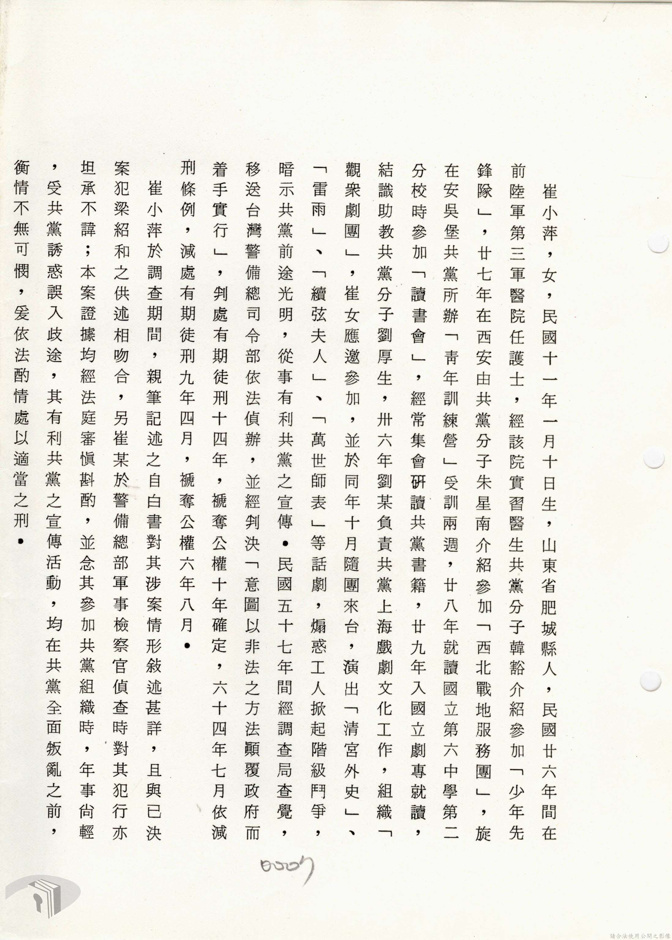
崔小萍案

本案為57至78年間民眾經臺灣警備總司令部判決並執行,後當事人刑滿出獄召開記者招待會向國人陳冤,法務部調查局欲調查其意圖及關注後續發展。附自白書、判決書、剪報等文件資料。

基本資訊

  • 全宗名
    法務部調查局
  • 檔案典藏機關
    國家發展委員會檔案管理局
  • 檔案起迄日期
    民國00570622-民國00780306
  • 數位物件類型
    Text(文字)
  • 貢獻者
    國家發展委員會檔案管理局
  • 審核者
    國家發展委員會檔案管理局
  • 地圖

本網站使用Cookies收集資料用於量化統計與分析,以進行服務品質之改善。請點選"接受",若未做任何選擇,或將本視窗關閉,本站預設選擇拒絕。進一步Cookies資料之處理,請參閱本站之隱私權宣告