跳到主要內容區塊

:::

郵電檢查

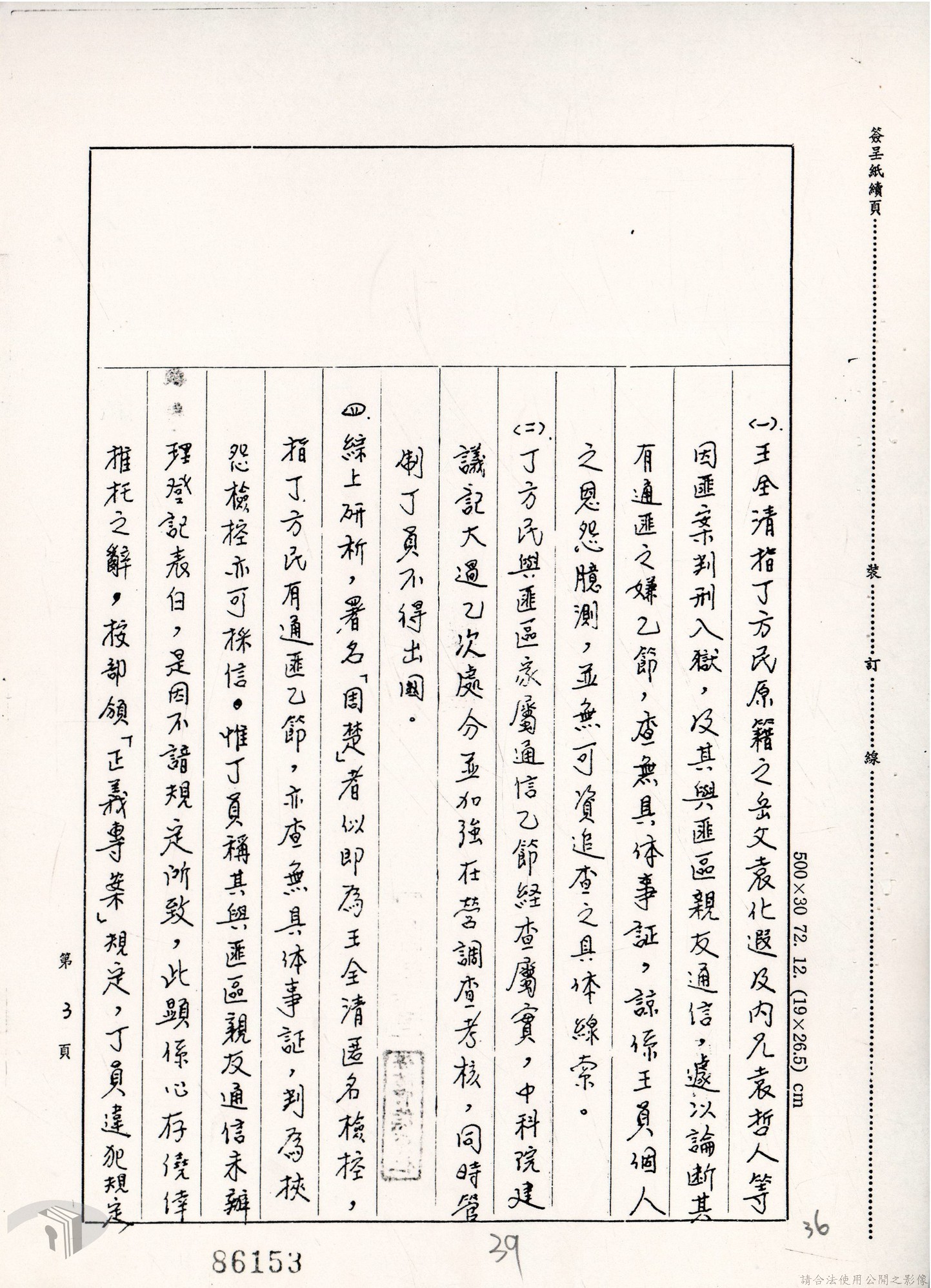
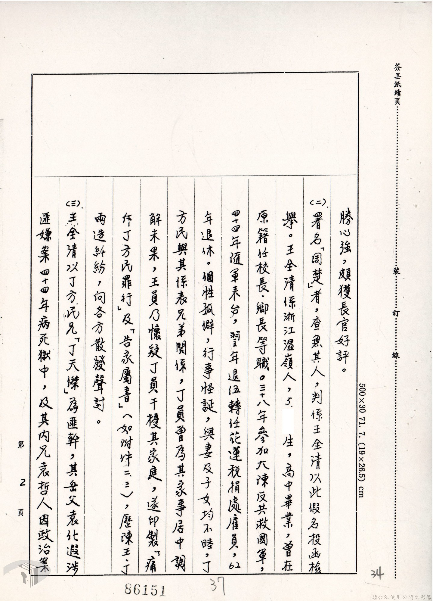
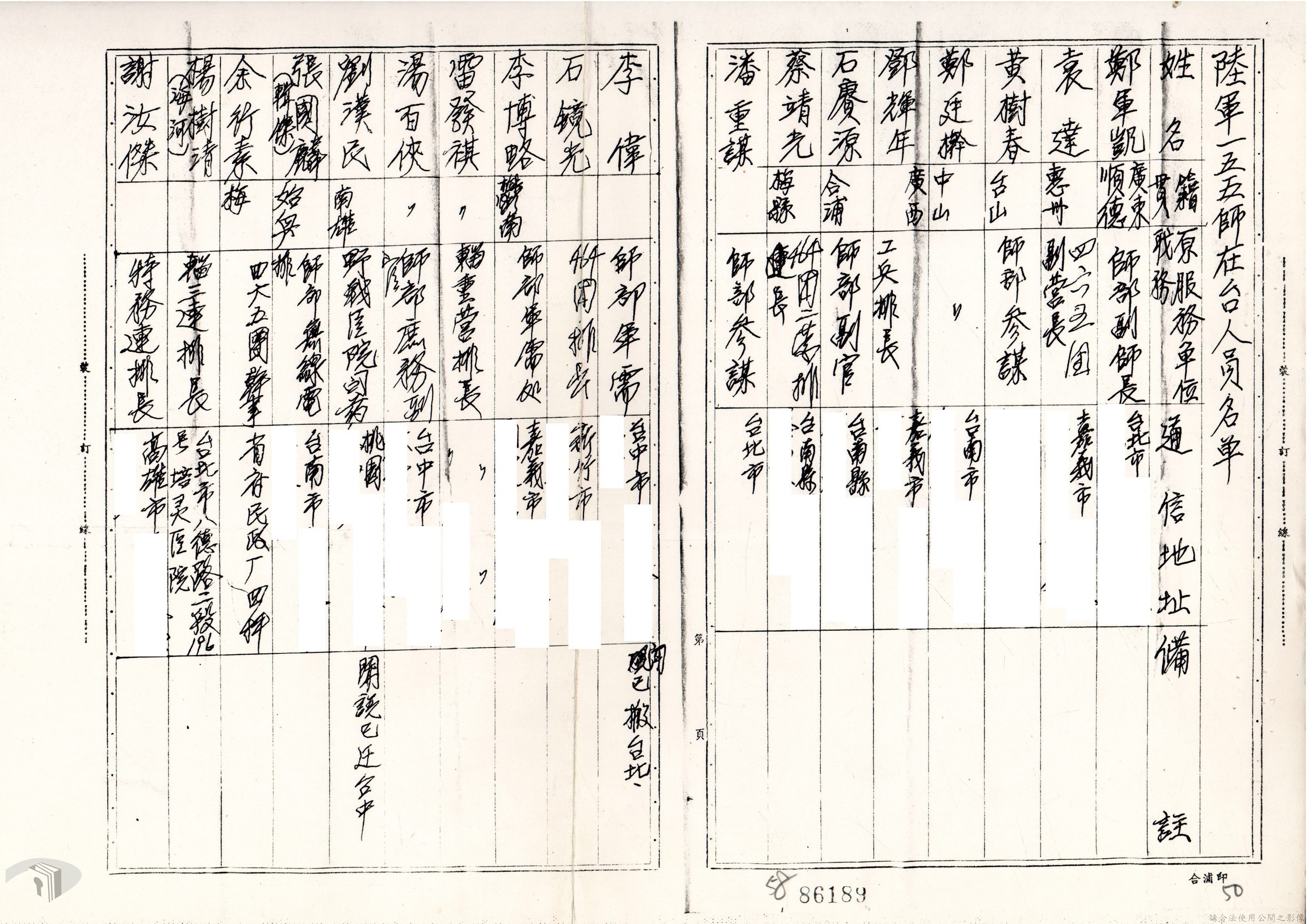
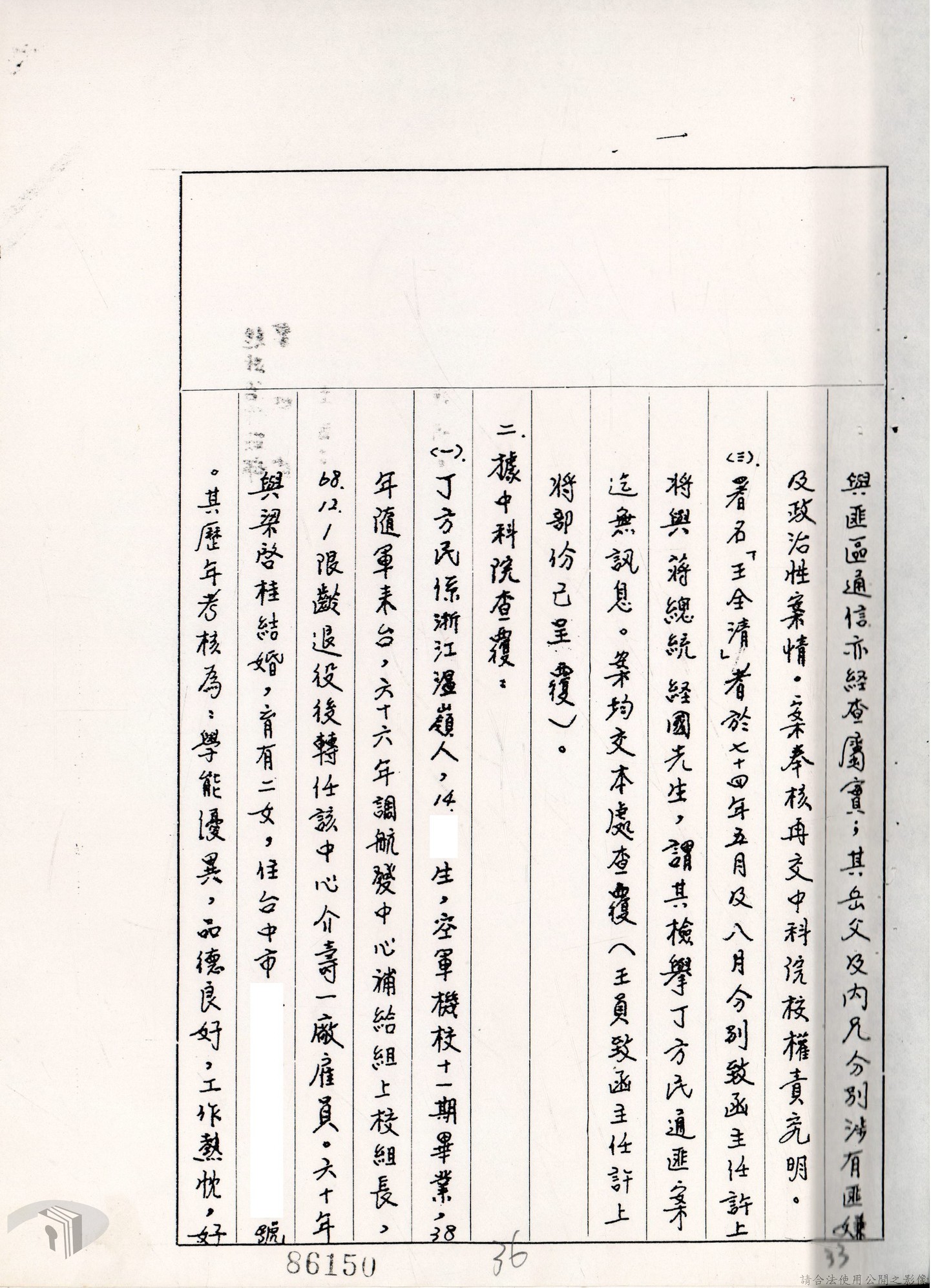
本案為74至75年間,情治單位檢送軍人及民眾涉案資料予國防部總政治作戰部,總政戰部函請海軍總司令部及相關單位協助調查,並獲各單位回覆,其中一當事人因違反「正義專案」,該員所屬單位予以懲處並限制出境;本案另含總政戰部檢送通信免檢人員名冊予各軍種總部等單位。附陸軍總部現有通信免檢人員名冊、海軍總部現有通信免檢人員名冊、空軍總部現有通信免檢人員名冊、聯勤總部現有通信免檢人員名冊、臺灣警備總司令部免檢資料名冊等文件資料。

基本資訊

  • 全宗名
    國防部
  • 檔案典藏機關
    國家發展委員會檔案管理局
  • 檔案起迄日期
    民國00740919-民國00750215
  • 數位物件類型
    Text(文字)
  • 貢獻者
    國家發展委員會檔案管理局
  • 審核者
    國家發展委員會檔案管理局
  • 地圖

本網站使用Cookies收集資料用於量化統計與分析,以進行服務品質之改善。請點選"接受",若未做任何選擇,或將本視窗關閉,本站預設選擇拒絕。進一步Cookies資料之處理,請參閱本站之隱私權宣告