跳到主要內容區塊

:::

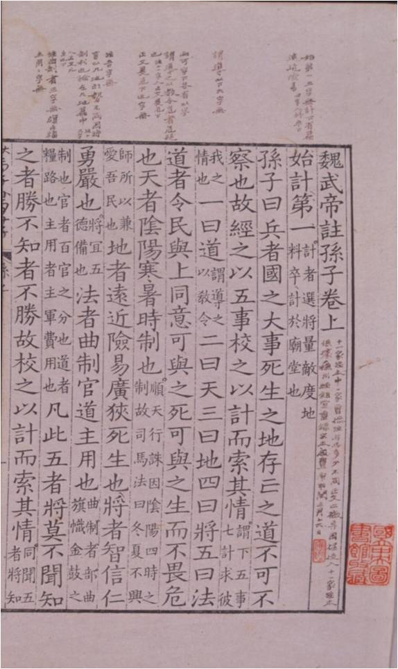
魏武帝註孫子(清刊本)

三卷(上、中、下)

基本資訊

  • 現況地址
    項次
    縣市
    鄉鎮市區
    地址
    1
    臺北市
    中正區
  • 數量
    2
  • 公告
    類別
    公告文號
    公告日期
    備註
    指定/登錄
    文資局物字第 10220091271號
    2013-08-13 00:00:00.0
  • 級別名稱
    重要古物
  • 種類
    種類代碼
    G3


    種類名稱
    圖書文獻及影音資料


    種類子類別代碼
    G3.1


    總類子類別名稱
    圖書、報刊


  • 年代
    清嘉慶庚申(五年,1800)
  • 作者
    周孫武撰,三國曹操註
  • 材質
    紙質刊本
  • 尺寸
    半葉11行,版匡17.1x11公分
  • 保存環境
    庫房或展覽空間
  • 主管機關聯絡地址
    402台中市南區復興路三段362號
  • 主管機關單位
    文化資產局
  • 主管機關聯絡電話
    04-2217-7777
  • 主管機關名稱
    文化部
  • 所屬主管機關
    文化部
  • 評定基準
    品質精良且數量稀少/具有重要歷史、文化、藝術或科學價值
  • 保管單位
    保管單位名稱
    國家圖書館


  • 古物所在地
    所在地名稱
    國家圖書館


    保存空間地址
    100台北市中正區中山南路20號


    保存空間屬性
    博物館、圖書館


    保存空間文資身分
    無文資身分


  • 法令依據
    古物分級登錄指定及廢止審查辦法第3條第一項第五、六款
  • 古物出處/出處或來源
    既存(繼承)
  • 指定(登錄)理由
    清嘉慶庚申(五年,1800)蘭陵孫氏平津館覆宋刊本。 此書為魏武帝曹操所註,後人或稱《孫子略解》、《孫子注》。曹操是最早對《孫子》一書作註者,他在此書末「魏武帝註孫子序」中云:「吾觀兵書戰策多矣,孫武所著深矣」,故對《孫子》一書註解闡釋,對孫子軍事思想的傳播具有重要意義。全書仿宋刊覆刻,書眉上註文以朱、墨、綠三色印製,未聞他處藏有同版。清黃丕烈手跋又韓應陛手校並題記。 清刊覆宋刊本古籍,罕見稀有,具重要歷史、文化與學術價值。
  • 代表圖像來源
    國家圖書館
  • 典藏或財產編號
    書號05699
  • 保存現狀
    無虫蛀,未經修裱。書況良好。
  • 地圖

本網站使用Cookies收集資料用於量化統計與分析,以進行服務品質之改善。請點選"接受",若未做任何選擇,或將本視窗關閉,本站預設選擇拒絕。進一步Cookies資料之處理,請參閱本站之隱私權宣告