跳到主要內容區塊

:::

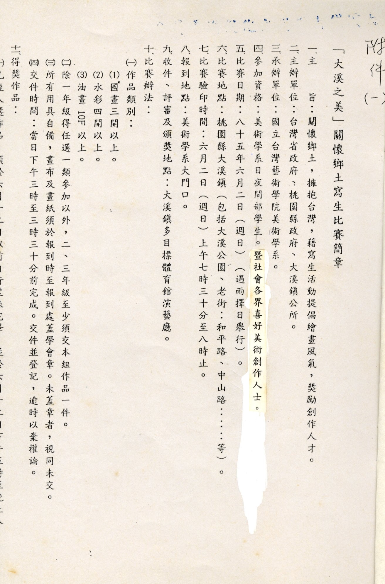
「大溪之美」關懷鄉土寫生比賽簡章

本物件為「大溪之美」關懷鄉土寫生比賽簡章之比賽簡章,內容包含主旨、參賽資格、比賽日期及比賽地點。 「大溪之美」關懷鄉土寫生比賽係由台灣省政府、桃園縣政府及大溪鎮公所主辦,國立台灣藝術學院美術學系所承辦之藝文活動,旨在關懷鄉土,擁抱台灣,藉寫生活動提倡繪畫風氣,獎勵創作人才。舉辦時間為1996年6月2日,對象資格為台灣國立藝術學院美術學系日間、夜間部學生,和社會各界喜好美術創作人士。得獎作品在上述同年6月24日至6月29日於該校美術學系大樓展出。作品中指涉地點主要為大溪鎮之範圍內,重點在老城區部分。

基本資訊

  • 撰寫者
    桃園市立大溪木藝生態博物館
  • 創作者
    大溪鎮大嵙崁文化促進委員會
  • 時間資訊
    出版日期
    1996/06/13
  • 媒體類型
    手稿及手抄本
  • 地圖

本網站使用Cookies收集資料用於量化統計與分析,以進行服務品質之改善。請點選"接受",若未做任何選擇,或將本視窗關閉,本站預設選擇拒絕。進一步Cookies資料之處理,請參閱本站之隱私權宣告